Готовые домашние задания онлайн
Решебники по Алгебре, Геометрии, Математике для 7-11 классов.
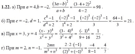
ГДЗ по алгебре 8 класс - А.Г. Мордкович. Содержание. Ответ на вопрос № 12.2

Алгебра 8 класс. А.Г. Мордкович
Автор: Мишустина, Е.Е. Тульчинская, М.: Мнемозина. Домашняя работа по алгебре за 8 класс.
Учебник: К учебнику "Алгебра 8 класс". Учебник для общеобразовательных учреждений.
Издательство: В 2-х частях. 17-е изд., доп. М.: Мнемозина, 2013.
Решение задачи № 12.2 по алгебре за 8 класс А.Г. Мордкович

На изображении представлено решение задачи № 12.2 учебника по алгебре А.Г. Мордкович за 8 класс.
Содержание
11.11.21.31.41.51.61.71.81.91.101.111.121.131.141.151.161.171.181.191.201.211.221.231.241.251.261.271.281.291.301.311.321.331.341.351.361.371.381.391.401.4122.12.22.32.42.52.62.82.92.102.112.122.132.142.152.162.172.182.192.202.212.222.232.242.252.262.272.282.292.302.312.322.332.342.352.362.372.382.392.402.412.422.432.442.452.4633.13.23.33.43.53.63.73.83.93.103.113.123.133.143.153.163.173.183.193.203.213.223.233.243.253.263.273.283.2944.14.24.34.44.54.64.74.84.94.104.114.124.134.144.154.164.174.184.194.204.214.224.234.244.254.264.274.284.294.304.314.324.334.344.354.364.374.384.394.404.414.424.434.444.454.464.474.484.494.504.514.524.534.544.554.5655.15.25.35.45.55.65.75.85.95.105.115.125.135.145.155.165.175.185.195.205.215.225.235.245.255.265.275.285.295.305.315.325.335.345.355.365.375.385.395.405.415.425.435.445.455.4666.16.26.36.46.56.66.76.86.96.106.116.126.136.146.156.166.176.186.196.206.216.226.236.2477.17.27.37.47.57.67.77.87.97.107.117.127.137.147.157.167.177.187.197.207.217.227.277.287.297.307.317.327.337.347.357.367.377.387.397.4088.18.28.38.48.58.68.78.88.98.108.118.128.138.148.158.168.178.188.198.208.218.228.238.248.258.268.278.288.298.308.318.3299.19.29.39.49.59.69.79.89.99.109.119.129.139.149.159.169.179.189.199.209.219.229.239.249.259.269.279.289.291010.110.210.310.410.510.610.710.810.910.1010.1110.1210.1310.1410.1510.1610.1710.1810.1910.2010.2110.2210.2310.2410.2510.2610.2710.2810.2910.3010.3110.3210.3310.3410.3510.3610.3710.3810.3910.4010.4110.4210.431111.111.211.311.411.511.611.711.811.911.1011.1111.1211.1411.1511.1611.171212.112.212.312.412.512.612.712.812.912.1012.1112.1212.1312.1412.1512.1612.1712.1812.1912.2012.2112.221313.113.213.313.413.513.613.713.813.913.1013.1113.1213.1313.1413.1513.1613.1713.1813.1913.2013.2113.2213.2313.2413.2513.2613.2713.2813.2913.3013.3113.321414.114.214.314.414.514.614.714.814.914.1214.1314.1414.1514.1614.1714.1814.1914.2014.2114.2214.2314.2414.2614.2714.2814.2914.3014.3114.3214.3314.3414.3514.361515.115.215.315.415.515.615.715.815.915.1015.2115.2215.2315.2415.2515.2615.2715.2815.2915.3015.3115.3215.3315.3415.3515.3615.3715.3815.3915.4015.4115.4215.4315.4415.4515.4615.4715.4815.4915.5015.5115.5215.5315.5415.5515.5615.5715.5815.5915.6015.6115.6215.6315.6415.6515.6615.6715.6815.6915.7015.7115.7215.7315.7415.7515.7615.7715.7815.7915.8015.8115.8215.8315.8415.8515.8615.8715.8815.8915.9015.9115.9215.9315.9415.9615.9715.9815.9915.10015.10215.10515.1061616.116.216.316.416.516.616.716.816.916.1016.1116.1216.1316.1416.1516.1616.1716.1816.1916.2016.2116.2216.2316.2416.2516.2616.2716.2816.2916.3016.3116.3216.3316.3416.3516.3616.3716.3816.3916.4016.4116.4216.4316.441717.117.217.317.417.517.617.717.817.917.1017.1117.1217.1317.1417.1517.1617.1717.1817.1917.2017.2117.2217.2317.2517.2617.2717.2917.3017.3117.3217.3317.3417.3517.3617.3717.3817.3917.4017.4117.4217.4317.4417.4517.4617.4717.4817.4917.5017.5117.5217.5317.5417.5517.5617.5717.5817.5917.6017.6117.6217.6317.6417.6517.661818.118.218.318.418.518.618.718.818.918.1018.1118.1218.1318.1418.1518.1618.1718.1818.2018.2118.2218.2318.2418.2518.2618.2718.2818.2918.3018.3118.3218.3318.3418.3518.3618.3718.381919.119.219.319.419.519,619.719.819.919.1019.1119.1219.1319.1419.1519.1619.1719.1819.1919.2019.2119.2219.2319.2419.2519.2619.2719.2819.3019.3119.3219.3319.3419.3519.3619.3719.3819.3919.4019.4119.4219.4319.4419.4519.4619.4719.4819.4919.5019.5119.5219.5319.5419.5519.5619.5719.582020.120.220.320.420.520.620.720.820.920.1020.1120.1220.1320.1420.1520.1620.1720.1820.1920.2020.2120.2220.2320.2420.2520.2620.2720.2820.2920.3020.3120.3220.3320.3420.3520.3620.3720.3820.3920.4020.4120.422121.121.221.321.421.521.621.721.821.921.1021.1121.1221.1321.1421.1521.1621.1721.1821.1921.2021.2121.2221.2321.2421.2521.2621.2721.2821.292222.122.222.322.422.522.622.722.822.922.1022.1122.1222.1322.1422.1522.1622.1722.1822.1922.2022.2122.2222.2322.2422.2522.2622.2722.2822.2922.3022.3122.3222.3322.3422.3522.3622.3722.3822.3922.4022.4122.4222.4322.4422.4522.4622.4722.4822.4922.5022.5122.5222.5322.5422.552323.823.923.1023.1123.1223.1323.1423.1523.1623.1723.1823.1923.2023.2123.2223.2323.242424.124.224.324.424.524.624.724.824.924.1024.1124.1224.1324.1424.1524.1624.1724.1824.1924.2024.2124.2224.2324.2424.2524.2624.2724.2824.2924.3024.3124.3224.3324.3424.3524.3624.3724.3824.392525.125.225.325.425.525.625.725.825.925.1025.1125.1225.1325.1425.1525.1625.1725.1825.1925.2025.2125.2225.2325.2425.2525.2625.2725.2825.2925.3025.3125.3225.3325.3525.3625.3725.3825.3925.4025.4125.4225.4325.4425.4525.4625.4725.4826.126.226.326.426.526.626.726.826.926.1026.1126.1226.1326.1426.1526.1626.1726.1826.1926.2026.2126.2226.2326.2426.2526.2626.2726.282727.127.227.327.427.527.627.727.827.927.1027.1127.1227.1327.1427.1527.1627.1727.1827.1927.2027.2127.2227.2327.2427.2527.2627.2727.2827.2927.3027.3127.3227.3327.3427.3527.3627.3727.3827.3927.4027.4127.4227.4327.4427.452828.128.228.328.428.528.628.728.828.928.1028.1128.1228.1328.1428.1528.1628.1728.1828.1928.2028.2128.2228.2328.2428.2528.2628.2728.282929.129.229.329.429.529.629.729.829.929.1029.1129.1229.1429.1529.1629.1729.1829.1929.2029.2129.2229.2329.2429.2529.2629.2729.2829.2929.3029.3129.3229.3329.3429.3529.3629.3729.3829.3929.4029.4129.4229.4329.4429.4529.4629.4729.4829.4929.5029.5129.5229.5329.5429.553030.130.230.330.430.530.630.730.830.930.1030.1130.1230.1330.1430.1530.1630.1730.1830.1930.2030.2130.2230.2330.243131.131.231.331.431.531.631.731.831.931.1031.1131.1231.1331.1431.1531.1631.1731.1831.1931.2031.2131.2231.2331.2431.2531.2631.2731.2831.2931.3031.3131.3231.3331.3431.3531.3631.3731.3831.3931.4031.4131.4231.4331.4431.4531.4631.4731.4831.4931.5031.5131.5231.5331.5431.5531.5631.5731.5831.5931.6031.6131.6231.6331.6431.653232.132.232.332.432.532.632.732.832.932.1032.1132.1232.1332.143333.133.233.333.433.533.633.733.833.933.1033.1133.1233.1333.1433.1533.1633.1733.1833.1933.2033.2133.2233.2333.2433.2533.2633.2733.2833.2933.3033.3133.3233.3333.3433.3533.3633.3733.383434.134.234.334.434.534.634.734.834.934.1034.1134.1234.1334.1434.1534.1634.1734.1834.1934.2034.2134.2234.2334.2434.2534.2634.2734.2834.2934.3034.3134.3234.3334.3434.3534.3634.3734.3834.3934.4034.4134.4234.4334.4434.4534.463535.135.235.335.435.535.635.735.835.935.1135.123636.136.236.336.436.536.636.736.836.936.1036.1136.1236.1336.1436.1536.1636.1736.1836.19373839404142434445464748495051525354555657585960616263646566676869707172737475767778798081828384858687888990919293949596979899100101102103104105106107108109110111112113114115116117118119120121122123124125126127128129130131132133134135136137138139140141142143144145146147148149150151152153154



