Готовые домашние задания онлайн
Решебники по Алгебре, Геометрии, Математике для 7-11 классов.
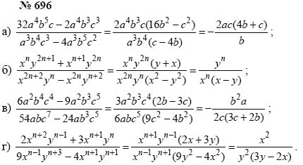
ГДЗ по алгебре 7 класс - А.Г. Мордкович, Т.Н. Мишустина, Е.Е. Тульчинская. Ответы к упражнениям. Ответ на вопрос № 696

Алгебра 7 класс. А.Г. Мордкович, Т.Н. Мишустина, Е.Е. Тульчинская
Автор: Мордкович А.Г., Мишустина Т.Н., Тульчинская Е.Е.
Учебник: Алгебра 7 класс: в двух частях. Часть 2: задачник для общеобразовательных учреждений.
Издательство: М.: Мнемозина, 2002,2003,2004,2005,2006,2007,2008,2009,2010,2011 год.
Решение задачи № 696 по алгебре за 7 класс А.Г. Мордкович, Т.Н. Мишустина, Е.Е. Тульчинская

На изображении представлено решение задачи № 696 учебника по алгебре А.Г. Мордкович, Т.Н. Мишустина, Е.Е. Тульчинская за 7 класс.
Ответы к упражнениям





