Готовые домашние задания онлайн
Решебники по Алгебре, Геометрии, Математике для 7-11 классов.
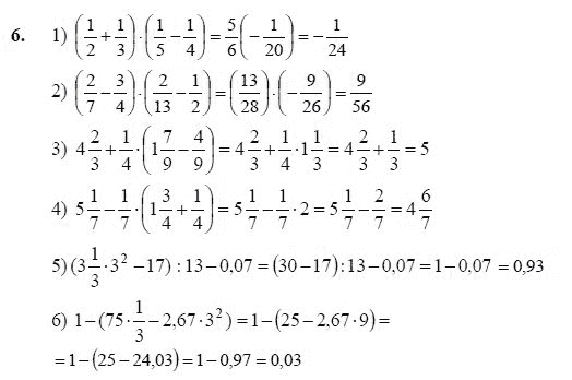
ГДЗ по алгебре 7 класс - Ш.А Алимов. Ответы к задачам. Ответ на вопрос № 6

Алгебра 7 класс. Ш.А Алимов
Автор: Алимов Ш.А. Домашняя работа по алгебре за 7 класс.
Учебник: К учебнику "Алгебра 7 класс". Учебник для общеобразовательных учреждений.
Издательство: Просвещение.
Решение задачи № 6 по алгебре за 7 класс Ш.А Алимов

На изображении представлено решение задачи № 6 учебника по алгебре Ш.А Алимов за 7 класс.
Ответы к задачам





