Готовые домашние задания онлайн
Решебники по Алгебре, Геометрии, Математике для 7-11 классов.
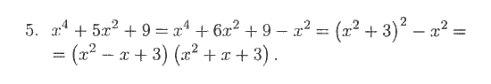
ГДЗ по алгебре 7 класс - Б.Г. Зив, В.А. Гольдич. Дидактические материалы. 4. Разложение многочлена на множители, Вариант 3. Ответ на вопрос № 5

Алгебра 7 класс. Б.Г. Зив, В.А. Гольдич. Дидактические материалы
Автор: Б.Г. Зив, В.А. Гольдич.
Учебник: К учебнику "Алгебра 7 класс". Дидактические материалы. Решебник
Издательство: СПб: Петроглиф, 2010.
Решение задачи № 5 по алгебре за 7 класс Б.Г. Зив, В.А. Гольдич. Дидактические материалы

На изображении представлено решение задачи № 5 учебника по алгебре Б.Г. Зив, В.А. Гольдич. Дидактические материалы за 7 класс.
4. Разложение многочлена на множители, Вариант 3





